As a cardinal part of deep learning or machine learning, optimization has long been a mathematical problem for researchers. Why we need optimization? Remember you have a loss function for linear regression, and then you would need to find the optimum of the function to minimize the square error, for example. You might also very familiar about gradient descent, especially when you start learning neural networks. In this blog, we will cover some method in optimization, and in what conditions should we apply them.
We could split the optimization problem into two groups: constraint and unconstraint. Unconstraint means given a function, we try to minimize or maximize it without any other conditions. Constraint means we would fit some conditions while optimizing a function.
Unconstraint Optimization
Definition: , where
is the optimum.
There are some stochastic and iterative methods for this kind of unconstraint problem. For example, Gradient Descent, Newton Method and Quasi Newton Method (an optimized Newton Method). Compared with GD, the other two would converge faster. In the graph, we could notice that point: the red arrow denotes GD and the green is Newton Method.
The original “Newton Method” (also known as the Newton–Raphson method) is trying to find the roots of a function, f(x)=0. It still needs some iterations. If you look at the fantastic gif below, which I borrowed from wiki, you would have a quick point of view. So the job is to find the x, where we want f(x)=0. First, we select a point randomly x1, and get f(x1), then we get the tangent at that point (x1,f(x1)). The next point to choose is exactly the x where the tangent and x-axis has the intersection, so . Then we do it many times until a sufficiently accurate value is reached.
Now you understand that Newton Method is perfect for solving something like f(x)=0 problem. Then how it is going to help the optimization. You need some math knowledge then. If the function f is a twice-differentiable function f, and you want to find the max or min of it. Then the problem is to find the roots of the derivative f’ (solutions to f ‘(x)=0), also known as the stationary points of f.
Constraint Optimization: Equality Optimization
Definition: , subject to
.
In the equality optimization problem, the equality constraints could be more than one. Here we would talk about one constraint for convenience. The method is called Lagrange Multiplier. When you have constraints, a natural way is try to eliminate them. So it goes this way. We brings in a new variable and create a Lagrange function:
![]()
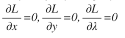
Then what we need to do is to calculate the following equations:

When we successfully get the right , remember it can not be zero, we could bring it into the Lagrange function. When the Lagrange function has the optimum, the f(x,y) has, too. Because you have
is always 0.
Constraint Optimization: Inequality Optimization
Definition:

Following the same idea, the Lagrange Multiplier could be extended. So a Generalized Lagrange function is written in this way:
So all and
are Lagrange multipliers and the
>=0.



